A PHP Error was encountered

Severity: Warning

Message: ini_set(): A session is active. You cannot change the session module's ini settings at this time

Filename: Session/Session_driver.php

Line Number: 188

A PHP Error was encountered

Severity: Warning

Message: session_write_close(): Failed to write session data using user defined save handler. (session.save_path: )

Filename: _board/view.php

Line Number: 111

KJCLUB - 【似非】 今日は手短に1000 【科学板】
伝統文化紹介 Relationship

2.
23606 79774 99789 69640 91736 68731 27623 54406 18359 61152
57242 70897 24541 05209 25637 80489 94144 14408 37878 22749
69508 17615 07737 83504 25326 77244 47073 86358 63601 21533
45270 88667 78173 19187 91658 11276 64532 26398 56580 53576
13504 17533 78500 34233 92414 06444 20864 32539 09725 25926
27228 87629 95174 02440 68161 17759 08909 49849 23713 90729
72889 84820 88641 54268 98940 99131 69357 70197 48678 88442
50897 54132 95618 31769 21499 97742 48015 30434 11503 59576
68332 51249 88151 78139 40800 05624 20855 24354 22355 56106
30634 28202 34093 33198 29339 59746 35227 12013 41749 61420
26359 04737 88550 43896 87061 13566 00457 57139 95659 55669
56917 56457 82219 52500 06053 92312 34005 00928 67648 75529
72205 67662 53666 07448 58535 05262 33067 84946 33422 24231
76372 77026 63240 76801 04443 31582 57335 05893 09813 62263
43198 68647 19469 89970 18081 89524 26445 96203 45221 41192
23291 25981 96325 81110 41704 95807 04812 04034 55994 94350
68555 51855 57251 23886 41655 01026 24363 12571 02444 96187
89424 68290 34044 74716 11545 57232 01737 67659 04609 18529
57560 35779 84398 05415 53807 79064 39363 97230 28756 06299
94822 13852 17734 85924 53515 12104 63455 55040 70722 78724

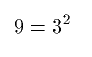
5の平方根です。

さて、昨日解説を頼まれた平方根の計算の論理的な背景について、先日の実例を用いてお話します。

 

104329の平方根、323を求める問題です。まず、Aの段階で104329は6桁の数なので、その平方根は3桁の数であることがわかります。

さて、今回は既に答えが与えられている物として、この手順の目的を調べてみましょう。

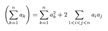
使うのは中学生でも見かける一般的な展開の式

だけです。

まぁ、一般化すると

こんな面倒な式になりますが、今回はここまで難しくは考えません。(解説が面倒になるからw)

323=300 + 20 + 3なので、上の展開の式を使えば

 

この様な式を作る事が出来ます。

大きい方から順に300 , 20 , 3と言う数字を求めるのが目標です。

90000≦104329<160000

ですから、最初の300は容易に求まります。すると、上の式の赤で囲んだ300の二乗の部分が求まる事がわかります。

これを使い、次の20を求めてみましょう。

さて、104329のうち90000が一体何処から作られたのかわかったので、上の式のようになります。

この式の中でもっとも大きなウェイトを占めているのはどこでしょうか?

当然赤く囲った部分です。この部分を良く見ると、14329を600で割り算すれば、20と言う大体の値が出てくる事がわかります。

これから、求めたい323の20の部分を発見する事ができました。

残った部分を調べると…

ここまで出所がわかりました。

さて、最後の一桁が知りたいのですが、この式の主要な部分を見れば、1929を640で割ることで3が出てくることは一目瞭然です。

最後は

余った部分の9の出身地を確認すれば終わりです。

 

ざっと眺めてみましたが、解説はこれで良いでしょうか?

明らかに単なる計算を超えた展開や因数分解の基礎知識が無いと到達できない手法です。きっと名も無い天才が居たんでしょうねw

 

参考文献  世界の名著12・中国の科学 九章算術「小広」  中央公論社


【사이비】 오늘은 간략하게 1000 【과학판】

2.
23606 79774 99789 69640 91736 68731 27623 54406 18359 61152
57242 70897 24541 05209 25637 80489 94144 14408 37878 22749
69508 17615 07737 83504 25326 77244 47073 86358 63601 21533
45270 88667 78173 19187 91658 11276 64532 26398 56580 53576
13504 17533 78500 34233 92414 06444 20864 32539 09725 25926
27228 87629 95174 02440 68161 17759 08909 49849 23713 90729
72889 84820 88641 54268 98940 99131 69357 70197 48678 88442
50897 54132 95618 31769 21499 97742 48015 30434 11503 59576
68332 51249 88151 78139 40800 05624 20855 24354 22355 56106
30634 28202 34093 33198 29339 59746 35227 12013 41749 61420
26359 04737 88550 43896 87061 13566 00457 57139 95659 55669
56917 56457 82219 52500 06053 92312 34005 00928 67648 75529
72205 67662 53666 07448 58535 05262 33067 84946 33422 24231
76372 77026 63240 76801 04443 31582 57335 05893 09813 62263
43198 68647 19469 89970 18081 89524 26445 96203 45221 41192
23291 25981 96325 81110 41704 95807 04812 0403455994 94350
68555 51855 57251 23886 41655 01026 24363 12571 02444 96187
89424 68290 34044 74716 11545 57232 01737 67659 04609 18529
57560 35779 84398 05415 53807 79064 39363 97230 28756 06299
94822 13852 17734 85924 53515 12104 63455 55040 70722 78724

5의 평방근입니다.

그런데, 어제 해설을 부탁받은 평방근의 계산의 논리적인 배경으로 대해서, 요전날의 실례를 이용해 이야기합니다.

 

104329의 평방근, 323을 요구하는 문제입니다.우선, A의 단계에서 104329는 6자리수의 수이므로, 그 평방근은 3자리수의 수인 것을 알 수 있습니다.

그런데, 이번은 이미 대답이 주어지고 있는 것으로서 이 순서의 목적을 조사해 봅시다.

사용하는 것은 중학생이라도 보이는 일반적인 전개의 식

뿐입니다.

아무튼, 일반화하면

이런 귀찮은 식이 됩니다만, 이번은 여기까지 어렵지는 생각하지 않습니다.(해설이 귀찮게 되기 때문에 w)

323=300 + 20 + 3이므로, 위의 전개의 식을 사용하면

 

이와 같은 식을 만들 수가 있습니다.

큰 분으로부터 순서에 300 , 20 , 3이라고 하는 숫자를 요구하는 것이 목표입니다.

90000≤104329<160000

그러니까, 최초의 300은 용이하게 구해집니다.그러자(면), 위의 식의 빨강으로 둘러싼 300의 제곱의 부분이 구해지는 것이 압니다.

이것을 사용해, 다음의 20을 요구해 봅시다.

그런데, 104329중 90000이 도대체 어딘가에서 만들어졌는지 알았으므로, 위의 식과 같이 됩니다.

이 식 중에서 가장 큰 웨이트를 차지하고 있는 것은 어디입니까?

당연 붉게 둘러싼 부분입니다.이 부분을 잘 보면, 14329를 600으로 나눗셈하면, 20이라고 말하는 대개의 값이 나오는 것이 압니다.

지금부터, 요구하고 싶은 323의 20의 부분을 발견할 수가 있었습니다.

남은 부분을 조사하면…

여기까지 출처(소)를 알 수 있었습니다.

그런데, 마지막 한 자리수를 알고 싶습니다만, 이 식의 주요한 부분을 보면, 1929를 640으로 나누는 것으로 3이 나오는 것은 일목 요연합니다.

최후는

남은 부분의 9의 출신지를 확인하면 마지막입니다.

 

대충 바라보았습니다만, 해설은 이것으로 좋을까요?

분명하게 단순한 계산을 넘은 전개나 인수분해의 기초지식이 없으면 도달할 수 없는 수법입니다.필시 이름도 없는 천재가 있었겠지요w

 

참고 문헌 세계의 명저 12·중국의 과학9장 산술 「소광」중앙공론사



TOTAL: 9653

番号 タイトル ライター 参照 推薦
1613 ε(*¥"д¥")^oダンボー....... くぷ 2009-03-24 1948 0
1612 【テロ?】スチーブンス殺害【義....... あべる 2009-03-24 2025 0
1611 【似非】 今日は手短に1000....... 董젯 2009-03-24 1855 0
1610 ( ^д^)<おはようございま....... farid 2009-03-24 2101 0
1609 re:孔子とキリストキリストは sabu1111 2009-03-24 1471 0
1608 孔子とキリストキリストは tiken22 2009-03-24 1839 0
1607 hatoも伊藤さんも屑だけど chasm 2009-03-24 2707 0
1606 WBCに関して素朴な疑問なのだ....... sabu1111 2009-03-24 2718 0
1605 江戸時代の人才登竜方式はどれ?....... mathematics 2009-03-24 1875 0
1604 なんとなく… ochimusha 2009-03-24 3847 0
1603 少女買春はいけないよね( ´H....... ジョン_ 2009-03-24 2293 0
1602 ( ^д^)<こんばんはw farid 2009-03-23 1451 0
1601 リンク先 グロ注意♪ infy 2009-03-23 2172 0
1600 不| ´8`) <探してみた・....... anago 2009-03-23 1940 0
1599 re:LA TIMES 記者が....... anago 2009-03-23 1829 0
1598 韓国人は猿で劣等民族だ sarutrainer 2009-06-11 1780 0
1597 【空気を読まず】良心に関する一....... falstaff_ 2009-03-23 2744 0
1596 「親日派・名誉元帥」誕生へ yasoshima 2009-03-23 1798 0
1595 サドゥお布施料理 ジョン_ 2009-03-23 2283 0
1594 花郎道: 新羅(韓半島慶尚道地....... tiken22 2009-03-23 1999 0