A PHP Error was encountered

Severity: Warning

Message: ini_set(): A session is active. You cannot change the session module's ini settings at this time

Filename: Session/Session_driver.php

Line Number: 188

A PHP Error was encountered

Severity: Warning

Message: session_write_close(): Failed to write session data using user defined save handler. (session.save_path: )

Filename: _board/view.php

Line Number: 111

KJCLUB - 【麻】 夜の確率論演習 5/9 【雀】
伝統文化紹介 Relationship

E(ε;・茶・) 某書籍を徹底的に馬鹿にしてるのに数学的内容になると誰も反応しないよね。

科学を根拠に使うのならせめて¥”検証可能¥性¥”と¥”再現性¥”をちゃんとしなきゃ駄目。

 

E(ε;・茶・) 論破論破と騒ぐ倭人よ。ヤンチャ先生の夜の確率論演習でその知性を鍛えるが良い。

 

演習会場は

ハンゲーム 麻雀 HI東風クイタン有りのロビー 交流広場 キー ketya


 

ルールは以下の通り

○東風戦が終わり、トップを取った人間は、ここに結果の詳細を書き込む。
○最下位になった人間はこのスレで癇癪音頭を踊る。
○翌日に発表¥される集計結果に目を通しておく。
○交代要員が居る場合、基本は二位抜け。ただし個人の都合もあるので臨機応変に対応せよ。

 

本日は蹴球があり、NHK BS1の速報Jリーグを見たいので、ヤンチャが何時に卓を作るかまだ未定です。

 

 

板違い防止用 今週命日だった数学者(5/3 - 5/9)

Thomas Hakon Grönwall (1877 1/16 - 1932 5/9 Sweden)

まぁ、くどくど説明するのは苦手です。

 

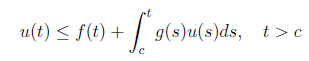
f(t) , g(t) を連続関数、 g(t)≧0 とする。u(t) が

を満たすならば

が成り立つ。

これをGrönwall inequalityと言う。

 

懐かしいですね。この証明をしましたよ。途中の式が長くなるので、よく計算を間違えました。


【마】 밤의 확률론 연습 5/9 【참새】

E(ε;·차·) 모서적을 철저하게 바보취급 하고 있는데 수학적 내용이 되면 아무도 반응하지 않지요.

과학을 근거로 사용한다면 적어도"검증 가능성"과"재현성"을 확실하지 않으면 타목.

 

E(ε;·차·) 논파 논파라고 떠드는 왜인이야.얀 차 선생님의 밤의 확율론 연습으로 그 지성을 단련하지만 좋다.

 

연습 회장은

한 게임 마작 HI동풍 쿠이탄유의 로비 교류 광장 키 ketya


 

룰은 이하와 같다

○동풍전이 끝나, 톱을 취한 인간은, 여기에 결과의 상세를 쓴다.
○최하위가 된 인간은 이 스레로 발작 선창을 춤춘다.
○다음날에 발표되는 집계 결과에 대충 훑어봐 둔다.
○교대 요원이 있는 경우, 기본은 2위 뽑아라.다만 개인의 형편도 있으므로 임기응변에 대응하라.

 

오늘은 축구가 있어, NHK BS1의 속보 J리그를 보고 싶기 때문에, 얀 차가 몇 시에 탁자를 만들까 아직 미정입니다.

 

 

판차이 방지용 이번 주 기일이었던 수학자(5/3 - 5/9)

Thomas Hakon Grönwall (1877 1/16 - 1932 5/9 Sweden)

아무튼, 지루하게 설명하는 것은 서투릅니다.

 

f(t) , g(t)를 연속 관수, g(t)≥0 으로 한다.u(t)가

(을)를 채운다면

하지만 성립된다.

이것을 Grönwall inequality라고 말한다.

 

그립네요.이 증명을 했어요.도중의 식이 길어지므로, 자주(잘) 계산을 잘못했습니다.



TOTAL: 9653

番号 タイトル ライター 参照 推薦
2193 re:竹島セミナー会場案内 Tiger_VII 2009-05-09 1762 0
2192 【自作自演】竹島セミナー【自画....... あべる 2009-05-09 2047 0
2191 【麻】 夜の確率論演習 5/9....... 董젯 2009-05-09 2424 0
2190 車輪でも解るバカチャート解説(....... ジョン_ 2009-05-09 2644 0
2189 ( ´H`)y-‾‾【竹島問題....... kimuraお兄さん 2009-05-09 2156 0
2188 【似非】 朝っぱらから暇なので....... 董젯 2009-05-09 1958 0
2187 伝統文化“ないものは盗め” yamakawa 2009-05-09 2005 0
2186 【復刻版】釣りとは何か tokoi 2009-05-09 1730 0
2185 世界に羽ばたくがもじん。 opqr 2010-07-08 2208 0
2184 美女の献上が嘘だと解ったわけだ....... ジョン_ 2009-05-09 4636 0
2183 ( ^д^)<こんばんはw farid 2009-05-09 1738 0
2182 re:担保する〜 Tiger_VII 2009-05-08 1452 0
2181 「記録があるのは事実だ」という....... あべる 2009-05-08 1921 0
2180 ( ´H`)y-‾‾【お役立ち....... kimuraお兄さん 2009-05-08 2065 0
2179 当然のごとく、KJ氏の「肯定論....... 伊藤さん 2009-05-08 2182 0
2178 売上によって内容は担保されない....... jokenfila 2009-05-08 2088 0
2177 日本人も日本人だが韓国人も ジョン_ 2009-05-08 2147 0
2176 【説明書に】韓国製品【ハングル....... あべる 2009-05-08 1647 0
2175 ( *H*)y-‾‾資料をもと....... kimuraお兄さん 2009-05-08 2571 0
2174 ホントはどうなのよ? ジョン_ 2009-05-08 3050 0