お座敷が掛かれば何処へでも。
最近話題のことは仮名手本忠臣蔵とか必殺シリーズで株仲間の未公開株を受け取る話とかと、構造は一緒なんだろうなぁと思ってる。「古田先生への愛情はないのかー!」な人々の良心もすごいなぁとも。
さて、国会図書館に行く余裕もないので、日々近代デジタルライブラリなぞをうろうろしているわけですが、欲しいものは「ここまで来い」ばかりなくせに、ひょんな事から変なところにぶち当たってばかり。で、今回は単発的にそう言うお話。主な参考テクストは
『朝鮮西伯利紀行』矢津昌永(1894:明治27)
『韓国地理』矢津昌永(1904:明治37)
『矢津昌永の地理学』源昌之(1978)
『六学年小学校新学科教授法』小平高明(1907:明治40)
特に深く突っ込んでもいないし知らなかった私が「へー」とおもった程度のまぁ、情報提供。何かにつながる話でも無し、つなげる予定もないそう言うお話。しかも聞けば昔紹介された方がいるとのこと。
矢津昌永は日本の地理学者。
源昌久氏の研究(『矢津昌永の地理学』)によると小学校の二等訓導からスタートして、最後は陸軍教授になった立身出世の人。ただ、かなり学歴について悩んでいたようである(帝国大卒でないということで)。熊本出身で、嘉納治五郎の元で働いていたりした。
明治20年代に従来の翻訳型地理学から脱皮し、日本の事例を採用して解説を試みた地文学(自然地理)の書物として最も早いもののひとつ(日本地文学)を書いた人。明治時代から大正にかけて、中等地理教育の教科書・参考書を多数執筆し、この世界の重鎮。日本地文学執筆当時一介の地方教員であったにも拘わらず内務省気象台、海軍省水路部の報告等のデータを丹念に収集して使用していることは高く評価してよいとのこと。
明治後半に日本が獲得した権益地域については、著書をきちんと改訂している、事情が変わった地域(例えば要塞が建設されたところ)についても素早く改訂をしている、マメな人。表日本・裏日本という言葉を造語した人ともいわれます。少なくとも明確にこうした書籍に定義して使用している最も古い人。フリークな皆様の間では『韓国地理』と『大日本地理集成』の著者としてご存じかと思います。
この人の著作に『朝鮮西伯利紀行』があり、これは著者が第五高等中学校(五高:現熊本大学)から高等師範(東京高等師範:現筑波大学)に移動する頃の夏(明治26年7/26から8/16)に朝鮮半島(釜山・蔚山・元山など)とシベリア(ウラジオストック)を実地に周遊した紀行文です。最初の方に「元々外国を色々見て回りたいと思っていたんだけどまずは東洋から、だんだんと西に行きたい(宿志として)。その手始めに」と書いています。彼が半島に行った年は日本でいうと富岡製糸場の払い下げがあったり、宮田製作所が国産自転車製造を開始してたり、ようやくそう言った所に来ていました。時期的に半島情勢は緊張していたとも思うのですが、あっさりとした紀行が書かれています。地理学者なので、随所にそうした切り口が見られ、非常に面白い一冊でした。
釜山で初めて韓人の女性を見て「乳房はおおうに由なく現れて歩々房房たり」とか、事細かに韓屋について語る(冬基準なので、夏は暑すぎてみんな外で食事をし寝ている)とかしています。釜山測候所訪問時には、その不備について指摘しています。蔚山では土人が集まって見せ物状態に辟易しています。とにかく臭気がひどいこと、食べ物がきついことが繰り返し出てきます。この紀行は著者にはかなりインパクトがあったようで、その後の彼の教科書・地理学書には似たような記述が随所に見られます。『韓国地理』の記述の下敷きはこの紀行だと言ってもいいかと思います。
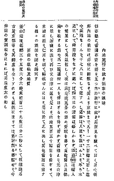
『朝鮮西伯利紀行』P10 内地旅行に就き領事の談話
『朝鮮西伯利紀行』P26余等の携帯品
『朝鮮西伯利紀行』P44酒の製法を見て吐気胸を衝く
画像は見づらいなぁと思いますので、ご興味がある方は近代デジタルライブラリで検索してみてくださいね。
おまけ。
こうした明治から大正期の地理学者、なかでも地理教育に携わっていた人の考え方は『韓国地理』の序にも顕れています。ですがもっとすごいなぁと思ったのが小平の『六学年小学校新学科教授法』。これは同年に改正された教育法令ににより、尋常小学校の年限が4年から6年になったことを受けて作られた地理・歴史・理科の指導方法。要はアンチョコです。
プロパガンダの部分は多分にあると思いますが、教育者教育という分野ですら、当時の人の考え方はこんなもんだったというのには驚かされます。
『六学年小学校新学科教授法』より第13章
おまけのおまけ
本当はこういうところを調べていたらでくわしたんですけどね。
『韓国地理』より風俗図の一部拡大
다다미방이 걸리면 어디에에서도.
최근 화제는 가나데혼추신구라라든지 필살 시리즈로 상공업자 동업조합의 미공개주를 받는 이야기라든지와 구조는 함께일까라고 생각하고 있다.「후루타 선생님에게의 애정은 없는가―!」사람들의 양심도 대단해라고도.
그런데, 국회 도서관에 갈 여유도 없기 때문에, 날마다 근대 디지털 라이브러리 수수께끼를 우왕좌왕하고 있는 것입니다만, 갖고 싶은 것은「여기까지 와라」바보 리나 주제에, 엉뚱한 일로부터 이상한 곳에 직면하고만.그리고, 이번은 단발적으로 그렇게 말하는 이야기.주된 참고 텍스트는
『조선 사이하쿠리 기행』야즈창영(1894:메이지 27)
『한국 지리』야즈창영(1904:메이지 37)
『야즈창 긴 지리학』근원 마사유키(1978)
『6학년 초등학교 신학과 교수법』코다이라 타카아키(1907:메이지 40)
특히 깊게 돌진해도 않고 몰랐던 내가「에―」라고 생각한 정도의 아무튼, 정보 제공.무언가에 연결되는 이야기에서도 없음, 연결할 예정도 없는 그렇게 말하는 이야기.게다가 (들)물으면 옛날 소개되는 것이 있다라는 것.
야즈창영은 일본의 지리학자.
원 창 히사시씨의 연구(『야즈창 긴 지리학 』)에 의하면 초등학교의 2등 훈도로부터 스타트 하고, 최후는 육군 교수가 된 입신 출세의 사람.단지, 꽤 학력에 대해 고민해 있던 것 듯한다(제국 대졸이 아니다고 하는 것으로).쿠마모토 출신으로, 가노 지고로우 원으로 일해 있거나 했다.
메이지 20년대에 종래의 번역형 지리학으로부터 탈피해, 일본의 사례를 채용하고 해설을 시도한 지문학(자연 지리)의 서적으로서 가장 빠른 하나(일본 지문학)를 쓴 사람.메이지 시대부터 타이쇼에 들이고, 중등 지리 교육의 교과서・참고서를 다수 집필해, 이 세계의 중진.일본 지문학 집필 당시 일개의 지방 교원이었음에도 관계없이 내무성 기상대, 해군성 수로부의 보고등의 데이터를 열심히 수집해 사용하고 있는 것은 높게 평가해도 좋다는 것.
메이지 후반에 일본이 획득한 권익 지역에 대해서는, 저서를 제대로 개정하고 있다, 사정이 바뀐 지역(예를 들면 요새가 건설되었는데)에 대해서도 재빠르게 개정을 하고 있는, 콩(물집)인 사람.오모테니혼・일본해측라는 말을 조어 한 사람이라고도 합니다.적어도 명확하게 이러한 서적에 정의해 사용하고 있는 가장 낡은 사람.Phreak인 여러분의 사이에서는『한국 지리』와『대일본 지리 집성』의 저자로서 아시는 바일까하고 생각합니다.
이 사람의 저작에『조선 사이하쿠리 기행』가 있어, 이것은 저자가 제5 고등 중학교(5고:현쿠마모토 대학)로부터 고등 사범(도쿄 고등 사범:현츠쿠바대학)으로 이동하는 무렵의 여름(메이지 26년7/26부터8/16)에 한반도(부산・울산・원산등)와 시베리아(블라디보스토크)를 현장에 주유한 기행문입니다.최초(분)편에「원래 외국을 여러가지 보고 돌고 싶었지만 우선은 동양으로부터, 점점 서쪽으로 가고 싶다(숙지로서).그 시작으로」라고 쓰고 있습니다.그가 반도에 간 해는 일본에서 말하면 토미오카 제사장의 불하가 있거나 미야타 제작소가 국산 자전거 제조를 개시하기도 하고, 간신히 그렇게 말한 곳에 와있었습니다.시기적으로 반도 정세는 긴장하고 있었다고도 생각합니다만, 시원스럽게 한 기행이 쓰여져 있습니다.지리학자이므로, 여기저기에 그러한 단면을 볼 수 있어 매우 재미있는 1권이었습니다.
부산에서 처음으로 한인의 여성을 봐「유방은 감싸는에 이유가 없게 나타나 보들방방 충분해」라든지, 자세하게 한옥에 대해 말하는(동 기준이므로, 여름은 너무 더워서 모두외에서 식사를 해 자고 있다) 녹이고 있습니다.부산 측후소 방문시에는, 그 미비에 대해 지적하고 있습니다.울산에서는 토인이 집라는 흥행 상태에 벽역 하고 있습니다.어쨌든 악취가 심한 일, 음식이 힘든 일이 반복해 나옵니다.이 기행은 저자에게는 꽤 임펙트가 있던 것 같고, 그 후의 그의 교과서・지리학서에는 비슷한 기술이 여기저기로 보여집니다.『한국 지리』의 기술의 깔개는 이 기행이라고 말해도 괜찮을까 생각합니다.
『조선 사이하쿠리 기행 』P10 내지 여행에 올라 영사의 담화
『조선 사이하쿠리 기행』P26여등의 휴대품
『조선 사이하쿠리 기행』P44주의 제법을 봐 욕지기가슴을 찌른다
화상은 보기 힘들다라고 생각하기 때문에, 흥미가 있는 분은 근대 디지털 라이브러리에서 검색해 보세요.
덤.
이러한 메이지부터 타이쇼기의 지리학자, 그 중에서도 지리 교육에 종사하고 있던 사람의 생각은『한국 지리』의 순서에도 나타나고 있습니다.그렇지만 더 대단해라고 생각했던 것이 코다이라의『6학년 초등학교 신학과 교수법』.이것은 동년에 개정된 교육법령에에 의해, 진죠소학교의 연한이 4년부터 6년이 된 것을 받아 만들어진 지리・역사・이과의 지도 방법.요점은 안쵸코입니다.
선전의 부분은 적지 않이 있다고 생각합니다만, 교육자 교육이라고 하는 분야에서조차, 당시의 사람의 생각은 이런 것이었다고 하는데는 놀라게 해집니다.
『6학년 초등학교 신학과 교수법』보다 제13장
덤의 덤
사실은 이런 곳을 조사하고 있으면 만났습니다만.
『한국 지리』보다 풍속도의 일부 확대

