E(ε;・茶・)
明日は久々に清水エスパルスの試合を見に行きます。日本平スタジアムに行くのは7年ぶりくらい。
私がまだ学生だった頃に行って以来です。
E(ε;・茶・)
さて、KJに集う倭人達よ、夜の確率論演習でその知性を鍛えるが良い。
演習会場は
ハンゲーム 麻雀4 交流 一般 ナシ-東風-アリ ロビー001 キー shiitake
こちらがURL
http://casual.hangame.co.jp/majak2/
ログインしたらゲームスタートして、上記ロビーに入ってください。
ルールは以下の通り
○ トップを取った人間は、ここに結果の詳細を書き込む。書き込まない場合は結果は抹消。
○ 最下位になった人間はこのスレで癇癪音頭を踊る。
○ 翌日に発表される集計結果に目を通しておく。
○ 交代要員が居る場合、基本は二位抜け。ただし個人の都合もあるので臨機応変に対応せよ。
E(ε;・茶・)
日本代表が面白い事になっていますね。
まぁ、勝ち点2を取ってきてくれればそれで十分です。
passwordの変更があります。ご注意を!!
尚、今のところ新しい挨拶は「茸」です。挨拶は忘れないようにしましょう。
やけど、
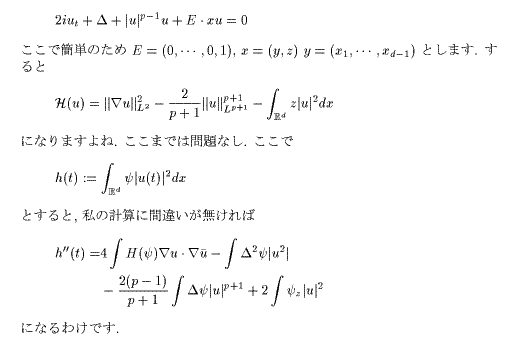
友達に計算結果を伝えるために送った文書の一部。
そしてこれが実際の計算。(これで…1/3くらいかな、比較的短い計算で済みました)
E(ε;·차·)
내일은 오래간만에 시미즈 에스팔스의 시합을 보러 갑니다.니혼다이라 스타디움에 가는 것은 7년만 정도.
내가 아직 학생이었던 무렵에 간 이래입니다.
E(ε;·차·)
그런데, KJ에 모이는 야마토사람들이야, 밤의 확률론 연습으로 그 지성을 단련하지만 좋다.
연습 회장은
한 게임 마작 4 교류 일반 나시 동풍-개미 로비 001 키 shiitake
이쪽이 URL
http://casual.hangame.co.jp/majak2/
로그인하면 게임 스타트 하고, 상기 로비에 들어와 주세요.
룰은 이하와 같다
○톱을 취한 인간은, 여기에 결과의 상세를 쓴다.쓰지 않는 경우는 결과는 말소.
○최하위가 된 인간은 이 스레로 발작 선창을 춤춘다.
○다음날에 발표되는 집계 결과에 대충 훑어봐 둔다.
○교대 요원이 있는 경우, 기본은 2위 뽑아라.다만 개인의 형편도 있으므로 임기응변에 대응해.
E(ε;·차·)
일본 대표가 재미있는 일이 되어 있네요.
아무튼, 승점 2를 취해 와 준다면 그래서 충분합니다.
password의 변경이 있습니다.주의를!!
상, 현재 새로운 인사는 「버섯」입니다.인사는 잊지 않도록 합시다.
화상,
친구에게 계산 결과를 전하기 위해서 보낸 문서의 일부.
그리고 이것이 실제의 계산.(이것으로Գ/3정도일까, 비교적 짧은 계산으로 끝났습니다)

