E(ε;・茶・)
こんにちは
台風一過で晴れると思ったら、意外と雲が多いですね。釜山の辺りは晴れているのかな?
E(ε;・茶・)
さて、KJに集う倭人達よ、夜の確率論演習でその知性を鍛えるが良い。
演習会場は
ハンゲーム 麻雀4 交流 一般 ナシ-東風-アリ ロビー001 キー shiitake
こちらがURL
http://casual.hangame.co.jp/majak2/
ログインしたらゲームスタートして、上記ロビーに入ってください。
ルールは以下の通り
○ トップを取った人間は、ここに結果の詳細を書き込む。書き込まない場合は結果は抹消。
○ 最下位になった人間はこのスレで癇癪音頭を踊る。
○ 翌日に発表される集計結果に目を通しておく。
○ 交代要員が居る場合、基本は二位抜け。ただし個人の都合もあるので臨機応変に対応せよ。
E(ε;・茶・)
9時に開場します。9時半に面子が揃わなかったら撤収します。
清水が勝った場合にはJリーグタイムを見たいので、席を外します。
passwordの変更があります。ご注意を!!
尚、今のところ新しい挨拶は「茸」です。挨拶は忘れないようにしましょう。
やけど?
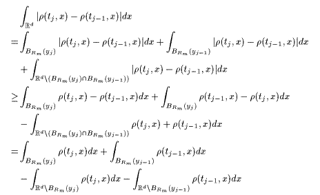
前回の補題の証明の核心部分。
E(ε;·차·)
안녕하세요
태풍 일과에 개인다고 했더니, 의외로구름이 많네요.부산의 근처는 개여 있는 것일까?
E(ε;·차·)
그런데, KJ에 모이는 왜인들이야, 밤의 확률론 연습으로 그지성을 단련하지만 좋다.
연습 회장은
한 게임 마작 4 교류 일반 나시 동풍-개미 로비 001 키 shiitake
이쪽이 URL
http://casual.hangame.co.jp/majak2/
로그인하면 게임 스타트 하고, 상기 로비에 들어와 주세요.
룰은 이하와 같다
○톱을 취한 인간은, 여기에 결과의 상세를 쓴다.쓰지 않는 경우는 결과는 말소.
○최하위가 된 인간은 이 스레로 발작 선창을 춤춘다.
○다음날에 발표되는 집계 결과에 대충 훑어봐 둔다.
○교대 요원이 있는 경우, 기본은 2위 뽑아라.다만 개인의 형편도 있으므로 임기응변에 대응해.
E(ε;·차·)
9시에 개장합니다.9시 반에 딱지가 갖추어지지 않았으면 철수합니다.
시미즈가 이겼을 경우에는 J리그 타임을 보고 싶기 때문에, 자리를 비웁니다.
password의 변경이 있습니다.주의를!!
상, 현재 새로운 인사는 「버섯」입니다.인사는 잊지 않도록 합시다.
화상?
전회의 보제의 증명의 핵심 부분.

