A PHP Error was encountered

Severity: Warning

Message: ini_set(): A session is active. You cannot change the session module's ini settings at this time

Filename: Session/Session_driver.php

Line Number: 188

A PHP Error was encountered

Severity: Warning

Message: session_write_close(): Failed to write session data using user defined save handler. (session.save_path: )

Filename: _board/view.php

Line Number: 111

KJCLUB - 韓国でばかり見える独島��
伝統文化紹介 Relationship
 

 

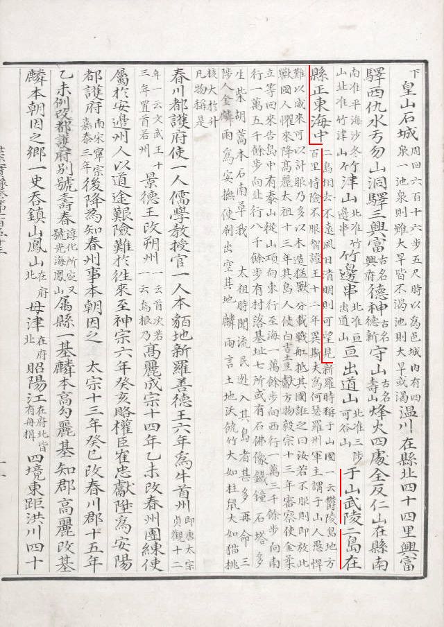
1454年, 朝鮮, 世宗実録地理志.

 

于山,武陵二島在県正東海中。二島相去不遠, 風日清明, 則可望見。

 

( 傘(于山)と武陵(武陵) 2島が現のすぐ東中央にある. - 2島がお互いに距離が遠くなくて, 天気が晴れれば よく眺めることができる.)

 

 

- 古代から韓国の島鬱陵島から晴れた日まさにボーイは独島 -

 

 

 

<クリック - 拡大> 

 

<クリック - 拡大> 

 

 

<クリック - 拡大>

 

 

 

<クリック - 拡大>

 


한국에서만 보이는 독도

 

 

1454년, 조선, 세종실록지리지.

 

于山,武陵二島在縣正東海中。二島相去不遠, 風日淸明, 則可望見。

 

( 우산(于山)과 무릉(武陵) 2섬이 현의 바로 동쪽 중앙에 있다. - 2섬이 서로 거리가 멀지않고, 날씨가 맑으면 잘 바라볼 수 있다.)

 

 

- 고대부터 한국의 섬 울릉도에서 맑은날 바로 보이는 독도 -

 

 

<클릭 - 확대> 

 

<클릭 - 확대> 

 

<클릭 - 확대>

 

 

 

<클릭 - 확대>

 



TOTAL: 9653

番号 タイトル ライター 参照 推薦
6053 韓流ファンは、頭が弱い人 masa7 2011-10-31 2722 0
6052 韓流にどうして死に物狂いで抵抗....... WarCriminal_Jap 2011-10-31 2655 0
6051 日本猿たちの有り勝ちな捏造 muhagi 2011-10-31 2679 0
6050 開かれるハーグへの道 あうぐす 2011-10-30 3534 0
6049 あぶくたった gamojin 2011-10-31 3516 0
6048 韓国国定教科書から見る独島 あうぐす 2011-10-29 3047 0
6047 【竹島】 馬鹿でもわかる検証 あうぐす 2011-10-29 3306 0
6046 世界も驚いたw自称、技術先進大....... chon35slave 2011-10-29 3738 0
6045 于山島は独島では有りません kemukemu1 2011-10-29 3157 0
6044 独島領有権主張に対する私見   2011-10-29 2753 0
6043 韓国人の好きな于山島 あうぐす 2011-10-29 2607 0
6042 旧エンジョイジャパンの難民がま....... kimuchinobuo 2011-10-28 2480 0
6041 韓国でばかり見える独島 WarCriminal_Jap 2011-10-29 2935 0
6040 三星より凄いw外貨の10%を稼....... chon35slave 2011-10-27 3512 0
6039 高麗モンゴルが連合して hakata74 2011-10-26 2419 0
6038 5秒の中に分かる日本の朝貢記録....... gandarf2 2011-10-26 3177 0
6037 5秒で解る!韓国人のルーツ あうぐす 2011-10-26 2991 0
6036 漢字で書く事ができなければ暮す....... wc21 2011-10-26 2425 0
6035 韓国の皆さん!今日は独島の日だ....... あうぐす 2012-03-22 3153 0
6034 日本の祭り-だんじり祭り-大阪....... ななこも 2011-10-25 3485 0